2016 Mathematics HSC 3 Unit
Due to copyright restriction, we are not able to show the exam paper or questions on this website. As the answers, solutions and videos are our own work, these are all accessible on this page. Please use the following links to get a copy of the exam paper:
Exam Paper: click here Marking Guidelines: click here Notes from Marking Centre: click here
For all questions, see exam paper
1)
a
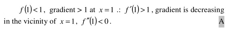
D
Question ID: 100120010010
Submit Yours! Copy Question ID and
click hereQuestion by:
Answer by: ada
s
v
Question ID: 100120010010
Submit Yours! Copy Question ID and
click hereVideo by:
d
2)
a
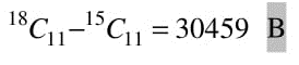
B
Question ID: 100120020010
Submit Yours! Copy Question ID and
click hereQuestion by:
Answer by: ada
s
v
Question ID: 100120020010
Submit Yours! Copy Question ID and
click hereVideo by:
d
3)
a
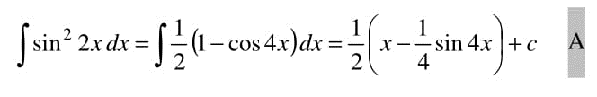
A
Question ID: 100120030010
Submit Yours! Copy Question ID and
click hereQuestion by:
Answer by: ada
s
v
Question ID: 100120030010
Submit Yours! Copy Question ID and
click hereVideo by:
d
4)
a
C
Question ID: 100120040010
Submit Yours! Copy Question ID and
click hereQuestion by:
Answer by: ada
s
v
Question ID: 100120040010
Submit Yours! Copy Question ID and
click hereVideo by:
d
5)
a
A
Question ID: 100120050010
Submit Yours! Copy Question ID and
click hereQuestion by:
Answer by: ada
s
v
Question ID: 100120050010
Submit Yours! Copy Question ID and
click hereVideo by:
d
6)
a
D
Question ID: 100120060010
Submit Yours! Copy Question ID and
click hereQuestion by:
Answer by: ada
s
v
Question ID: 100120060010
Submit Yours! Copy Question ID and
click hereVideo by:
d
7)
a
C
Question ID: 100120070010
Submit Yours! Copy Question ID and
click hereQuestion by:
Answer by: ada
s
v
Question ID: 100120070010
Submit Yours! Copy Question ID and
click hereVideo by:
d
8)
a
B
Question ID: 100120080010
Submit Yours! Copy Question ID and
click hereQuestion by:
Answer by: ada
s
v
Question ID: 100120080010
Submit Yours! Copy Question ID and
click hereVideo by:
d
9)
a
A
Question ID: 100120090010
Submit Yours! Copy Question ID and
click hereQuestion by:
Answer by: ada
s
v
Question ID: 100120090010
Submit Yours! Copy Question ID and
click hereVideo by:
d
10)
a
A
Question ID: 100120100010
Submit Yours! Copy Question ID and
click hereQuestion by:
Answer by: ada
s
v
Question ID: 100120100010
Submit Yours! Copy Question ID and
click hereVideo by:
d
11a)
a
$y=(x+2)^{\frac13}$
Question ID: 100120110010
Submit Yours! Copy Question ID and
click hereQuestion by:
Answer by: ada
s
v
Question ID: 100120110010
Submit Yours! Copy Question ID and
click hereVideo by:
d
11b)
a
$\frac25(x-4)^{\frac52}+\frac83(x-4)^{\frac32}+C$
Question ID: 100120110020
Submit Yours! Copy Question ID and
click hereQuestion by:
Answer by: ada
s
v
Question ID: 100120110020
Submit Yours! Copy Question ID and
click hereVideo by:
d
11c)
a
$\frac{6}{1+4x^2}$
Question ID: 100120110030
Submit Yours! Copy Question ID and
click hereQuestion by:
Answer by: ada
s
v
Question ID: 100120110030
Submit Yours! Copy Question ID and
click hereVideo by:
d
11d)
a
$\frac23$
Question ID: 100120110040
Submit Yours! Copy Question ID and
click hereQuestion by:
Answer by: ada
s
v
Question ID: 100120110040
Submit Yours! Copy Question ID and
click hereVideo by:
d
11e)
a
$x<-3$, $-\frac52
Question ID: 100120110050
Submit Yours! Copy Question ID and
click hereQuestion by:
Answer by: ada
s
v
Question ID: 100120110050
Submit Yours! Copy Question ID and
click hereVideo by:
d
11fi)
a
$\frac{36}{125}$
Question ID: 100120110060
Submit Yours! Copy Question ID and
click hereQuestion by:
Answer by: ada
s
v
Question ID: 100120110060
Submit Yours! Copy Question ID and
click hereVideo by:
d
11fii)
a
$\frac{2997}{3125}$
Question ID: 100120110070
Submit Yours! Copy Question ID and
click hereQuestion by:
Answer by: ada
s
v
Question ID: 100120110070
Submit Yours! Copy Question ID and
click hereVideo by:
d
12ai)
a
$r=\frac h4$
Question ID: 100120120010
Submit Yours! Copy Question ID and
click hereQuestion by:
Answer by: ada
s
v
Question ID: 100120120010
Submit Yours! Copy Question ID and
click hereVideo by:
d
12aii)
a
show that question
look at solution
Question ID: 100120120020
Submit Yours! Copy Question ID and
click hereQuestion by:
Answer by: ada
s
v
Question ID: 100120120020
Submit Yours! Copy Question ID and
click hereVideo by:
d
12aiii)
a
show that question
look at solution
Question ID: 100120120030
Submit Yours! Copy Question ID and
click hereQuestion by:
Answer by: ada
s
v
Question ID: 100120120030
Submit Yours! Copy Question ID and
click hereVideo by:
d
12aiv)
a
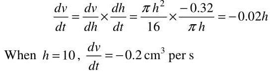
$-0.2$cm$^3$ per second
Question ID: 100120120040
Submit Yours! Copy Question ID and
click hereQuestion by:
Answer by: ada
s
v
Question ID: 100120120040
Submit Yours! Copy Question ID and
click hereVideo by:
d
12bi)
a
show that question
look at solution
Question ID: 100120120050
Submit Yours! Copy Question ID and
click hereQuestion by:
Answer by: ada
s
v
Question ID: 100120120050
Submit Yours! Copy Question ID and
click hereVideo by:
d
12bii)
a
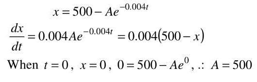
$A=500$
Question ID: 100120120060
Submit Yours! Copy Question ID and
click hereQuestion by:
Answer by: ada
s
v
Question ID: 100120120060
Submit Yours! Copy Question ID and
click hereVideo by:
d
12ci)
a
show that question
look at solution
Question ID: 100120120070
Submit Yours! Copy Question ID and
click hereQuestion by:
Answer by: ada
s
v
Question ID: 100120120070
Submit Yours! Copy Question ID and
click hereVideo by:
d
12cii)
a
$\alpha\approx0.76$
Question ID: 100120120080
Submit Yours! Copy Question ID and
click hereQuestion by:
Answer by: ada
s
v
Question ID: 100120120080
Submit Yours! Copy Question ID and
click hereVideo by:
d
13ai)
a
explain question
look at solutions
Question ID: 100120130010
Submit Yours! Copy Question ID and
click hereQuestion by:
Answer by: ada
s
v
Question ID: 100120130010
Submit Yours! Copy Question ID and
click hereVideo by:
d
13aii)
a
$11:22:30$am
Question ID: 100120130020
Submit Yours! Copy Question ID and
click hereQuestion by:
Answer by: ada
s
v
Question ID: 100120130020
Submit Yours! Copy Question ID and
click hereVideo by:
d
13bi)
a
proof question
look at solutions
Question ID: 100120130030
Submit Yours! Copy Question ID and
click hereQuestion by:
Answer by: ada
s
v
Question ID: 100120130030
Submit Yours! Copy Question ID and
click hereVideo by:
d
13bii)
a
show that question
look at solution
Question ID: 100120130040
Submit Yours! Copy Question ID and
click hereQuestion by:
Answer by: ada
s
v
Question ID: 100120130040
Submit Yours! Copy Question ID and
click hereVideo by:
d
13biii)
a
$2.5$ seconds
Question ID: 100120130050
Submit Yours! Copy Question ID and
click hereQuestion by:
Answer by: ada
s
v
Question ID: 100120130050
Submit Yours! Copy Question ID and
click hereVideo by:
d
13biv)
a
$25$m
Question ID: 100120130060
Submit Yours! Copy Question ID and
click hereQuestion by:
Answer by: ada
s
v
Question ID: 100120130060
Submit Yours! Copy Question ID and
click hereVideo by:
d
13ci)
a
show that question
look at solution
Question ID: 100120130070
Submit Yours! Copy Question ID and
click hereQuestion by:
Answer by: ada
s
v
Question ID: 100120130070
Submit Yours! Copy Question ID and
click hereVideo by:
d
13cii)
a
proof question
look at solutions
Question ID: 100120130080
Submit Yours! Copy Question ID and
click hereQuestion by:
Answer by: ada
s
v
Question ID: 100120130080
Submit Yours! Copy Question ID and
click hereVideo by:
d
14ai)
a
show that question
look at solution
Question ID: 100120140010
Submit Yours! Copy Question ID and
click hereQuestion by:
Answer by: ada
s
v
Question ID: 100120140010
Submit Yours! Copy Question ID and
click hereVideo by:
d
14aii)
a
proof question
look at solutions
Question ID: 100120140020
Submit Yours! Copy Question ID and
click hereQuestion by:
Answer by: ada
s
v
Question ID: 100120140020
Submit Yours! Copy Question ID and
click hereVideo by:
d
14bi)
a
show that question
look at solution
Question ID: 100120140030
Submit Yours! Copy Question ID and
click hereQuestion by:
Answer by: ada
s
v
Question ID: 100120140030
Submit Yours! Copy Question ID and
click hereVideo by:
d
14bii)
a
show that question
look at solution
Question ID: 100120140040
Submit Yours! Copy Question ID and
click hereQuestion by:
Answer by: ada
s
v
Question ID: 100120140040
Submit Yours! Copy Question ID and
click hereVideo by:
d
14biii)
a
show that question
look at solution
Question ID: 100120140050
Submit Yours! Copy Question ID and
click hereQuestion by:
Answer by: ada
s
v
Question ID: 100120140050
Submit Yours! Copy Question ID and
click hereVideo by:
d
14ci)
a
show that question
look at solution
Question ID: 100120140060
Submit Yours! Copy Question ID and
click hereQuestion by:
Answer by: ada
s
v
Question ID: 100120140060
Submit Yours! Copy Question ID and
click hereVideo by:
d
14cii)
a
show that question
look at solution
Question ID: 100120140070
Submit Yours! Copy Question ID and
click hereQuestion by:
Answer by: ada
s
v
Question ID: 100120140070
Submit Yours! Copy Question ID and
click hereVideo by:
d
14ciii)
a
$\frac a4$
Question ID: 100120140080
Submit Yours! Copy Question ID and
click hereQuestion by:
Answer by: ada
s
v
Question ID: 100120140080
Submit Yours! Copy Question ID and
click hereVideo by:
d
14civ)
a
$t=\pm\sqrt2$
Question ID: 100120140090
Submit Yours! Copy Question ID and
click hereQuestion by:
Answer by: ada
s
v
Question ID: 100120140090
Submit Yours! Copy Question ID and
click hereVideo by:
d
Answers
1) D
2) B
3) A
4) C
5) A
6) D
7) C
8) B
9) A
10) A
11a) $y=(x+2)^{\frac13}$
11b) $\frac25(x-4)^{\frac52}+\frac83(x-4)^{\frac32}+C$
11c) $\frac{6}{1+4x^2}$
11d) $\frac23$
11e) $x<-3$, $-\frac52
11fi) $\frac{36}{125}$
11fii) $\frac{2997}{3125}$
12ai) $r=\frac h4$
12aii) show that question
look at solution
12aiii) show that question
look at solution
12aiv) $-0.2$cm$^3$ per second
12bi) show that question
look at solution
12bii) $A=500$
12ci) show that question
look at solution
12cii) $\alpha\approx0.76$
13ai) explain question
look at solutions
13aii) $11:22:30$am
13bi) proof question
look at solutions
13bii) show that question
look at solution
13biii) $2.5$ seconds
13biv) $25$m
13ci) show that question
look at solution
13cii) proof question
look at solutions
14ai) show that question
look at solution
14aii) proof question
look at solutions
14bi) show that question
look at solution
14bii) show that question
look at solution
14biii) show that question
look at solution
14ci) show that question
look at solution
14cii) show that question
look at solution
14ciii) $\frac a4$
14civ) $t=\pm\sqrt2$
Solutions
1)
2)
3)
4)
5)
6)
7)
8)
9)
10)
11a)
11b)
11c)
11d)
11e)
11fi)
11fii)
12ai)
12aii)
12aiii)
12aiv)
12bi)
12bii)
12ci)
12cii)
13ai)
13aii)
13bi)
13bii)
13biii)
13biv)
13ci)
13cii)
14ai)
14aii)
14bi)
14bii)
14biii)
14ci)
14cii)
14ciii)
14civ)