2017 Mathematics HSC 3 Unit
Due to copyright restriction, we are not able to show the exam paper or questions on this website. As the answers, solutions and videos are our own work, these are all accessible on this page. Please use the following links to get a copy of the exam paper:
Exam Paper: click here Marking Guidelines: click here Marking Feedback: click here
For all questions, see exam paper
1)
a
A
Question ID: 100110010011
Submit Yours! Copy Question ID and
click hereQuestion by:
Answer by: ada
s
Question ID: 100110010011
Submit Yours! Copy Question ID and click here
Solution by: Jonathan Le 'Carrotsticks' from Bored of Studies
v
Question ID: 100110010011
Submit Yours! Copy Question ID and
click hereVideo by:
d
2)
a
B
Question ID: 100110020010
Submit Yours! Copy Question ID and
click hereQuestion by:
Answer by: ada
s
Question ID: 100110020010
Submit Yours! Copy Question ID and click here
Solution by: Jonathan Le 'Carrotsticks' from Bored of Studies
v
Question ID: 100110020010
Submit Yours! Copy Question ID and
click hereVideo by:
d
3)
a
B
Question ID: 100110030010
Submit Yours! Copy Question ID and
click hereQuestion by:
Answer by: ada
s
Question ID: 100110030010
Submit Yours! Copy Question ID and click here
Solution by: Jonathan Le 'Carrotsticks' from Bored of Studies
v
Question ID: 100110030010
Submit Yours! Copy Question ID and
click hereVideo by:
d
4)
a
C
Question ID: 100110040010
Submit Yours! Copy Question ID and
click hereQuestion by:
Answer by: ada
s
Question ID: 100110040010
Submit Yours! Copy Question ID and click here
Solution by: Jonathan Le 'Carrotsticks' from Bored of Studies
v
Question ID: 100110040010
Submit Yours! Copy Question ID and
click hereVideo by:
d
5)
a
D
Question ID: 100110050010
Submit Yours! Copy Question ID and
click hereQuestion by:
Answer by: ada
s
Question ID: 100110050010
Submit Yours! Copy Question ID and click here
Solution by: Jonathan Le 'Carrotsticks' from Bored of Studies
v
Question ID: 100110050010
Submit Yours! Copy Question ID and
click hereVideo by:
d
6)
a
D
Question ID: 100110060010
Submit Yours! Copy Question ID and
click hereQuestion by:
Answer by: ada
s
Question ID: 100110060010
Submit Yours! Copy Question ID and click here
Solution by: Jonathan Le 'Carrotsticks' from Bored of Studies
v
Question ID: 100110060010
Submit Yours! Copy Question ID and
click hereVideo by:
d
7)
a
A
Question ID: 100110070010
Submit Yours! Copy Question ID and
click hereQuestion by:
Answer by: ada
s
Question ID: 100110070010
Submit Yours! Copy Question ID and click here
Solution by: Jonathan Le 'Carrotsticks' from Bored of Studies
v
Question ID: 100110070010
Submit Yours! Copy Question ID and
click hereVideo by:
d
8)
a
C
Question ID: 100110080010
Submit Yours! Copy Question ID and
click hereQuestion by:
Answer by: ada
s
Question ID: 100110080010
Submit Yours! Copy Question ID and click here
Solution by: Jonathan Le 'Carrotsticks' from Bored of Studies
v
Question ID: 100110080010
Submit Yours! Copy Question ID and
click hereVideo by:
d
9)
a
C
Question ID: 100110090010
Submit Yours! Copy Question ID and
click hereQuestion by:
Answer by: ada
s
Question ID: 100110090010
Submit Yours! Copy Question ID and click here
Solution by: Jonathan Le 'Carrotsticks' from Bored of Studies
v
Question ID: 100110090010
Submit Yours! Copy Question ID and
click hereVideo by:
d
10)
a
B
Question ID: 100110100010
Submit Yours! Copy Question ID and
click hereQuestion by:
Answer by: ada
s
Question ID: 100110100010
Submit Yours! Copy Question ID and click here
Solution by: Jonathan Le 'Carrotsticks' from Bored of Studies
v
Question ID: 100110100010
Submit Yours! Copy Question ID and
click hereVideo by:
d
11a)
a
$x=2$
Question ID: 100110110011
Submit Yours! Copy Question ID and
click hereQuestion by:
Answer by: ada
s
Question ID: 100110110011
Submit Yours! Copy Question ID and click here
Solution by: Jonathan Le 'Carrotsticks' from Bored of Studies
v
Question ID: 100110110011
Submit Yours! Copy Question ID and
click hereVideo by:
d
11b)
a
$\frac{3x^2}{1+x^6}$
Question ID: 100110110020
Submit Yours! Copy Question ID and
click hereQuestion by:
Answer by: ada
s
Question ID: 100110110020
Submit Yours! Copy Question ID and click here
Solution by: Jonathan Le 'Carrotsticks' from Bored of Studies
v
Question ID: 100110110020
Submit Yours! Copy Question ID and
click hereVideo by:
d
11c)
a
$x>1$ or $x<-1$
Question ID: 100110110029
Submit Yours! Copy Question ID and
click hereQuestion by:
Answer by: ada
s
Question ID: 100110110029
Submit Yours! Copy Question ID and click here
Solution by: Jonathan Le 'Carrotsticks' from Bored of Studies
v
Question ID: 100110110029
Submit Yours! Copy Question ID and
click hereVideo by:
d
11d)
a
Question ID: 100110110038
Submit Yours! Copy Question ID and
click hereQuestion by:
Answer by: Jonathan Le 'Carrotsticks' from Bored of Studies
s
Question ID: 100110110038
Submit Yours! Copy Question ID and click here
Solution by: Jonathan Le 'Carrotsticks' from Bored of Studies
v
Question ID: 100110110038
Submit Yours! Copy Question ID and
click hereVideo by:
d
11e)
a
$\frac83$
Question ID: 100110110047
Submit Yours! Copy Question ID and
click hereQuestion by:
Answer by: ada
s
Question ID: 100110110047
Submit Yours! Copy Question ID and click here
Solution by: Jonathan Le 'Carrotsticks' from Bored of Studies
v
Question ID: 100110110047
Submit Yours! Copy Question ID and
click hereVideo by:
d
11f)
a
$\frac13\sin^3x+C$
Question ID: 100110110056
Submit Yours! Copy Question ID and
click hereQuestion by:
Answer by: ada
s
Question ID: 100110110056
Submit Yours! Copy Question ID and click here
Solution by: Jonathan Le 'Carrotsticks' from Bored of Studies
v
Question ID: 100110110056
Submit Yours! Copy Question ID and
click hereVideo by:
d
11gi)
a
$\left(\begin{array}{c}8\\3\end{array}\right)\left(\frac15\right)^3\left(\frac45\right)^5$
Question ID: 100110110065
Submit Yours! Copy Question ID and
click hereQuestion by:
Answer by: ada
s
Question ID: 100110110065
Submit Yours! Copy Question ID and click here
Solution by: Jonathan Le 'Carrotsticks' from Bored of Studies
v
Question ID: 100110110065
Submit Yours! Copy Question ID and
click hereVideo by:
d
11gii)
a
$\left(\frac45\right)^8$
Question ID: 100110110074
Submit Yours! Copy Question ID and
click hereQuestion by:
Answer by: ada
s
Question ID: 100110110074
Submit Yours! Copy Question ID and click here
Solution by: Jonathan Le 'Carrotsticks' from Bored of Studies
v
Question ID: 100110110074
Submit Yours! Copy Question ID and
click hereVideo by:
d
11giii)
a
$1-\left(\frac45\right)^8$
Question ID: 100110110083
Submit Yours! Copy Question ID and
click hereQuestion by:
Answer by: ada
s
Question ID: 100110110083
Submit Yours! Copy Question ID and click here
Solution by: Jonathan Le 'Carrotsticks' from Bored of Studies
v
Question ID: 100110110083
Submit Yours! Copy Question ID and
click hereVideo by:
d
12a)
a
$\angle ABC=130^\circ$
Question ID: 100110120030
Submit Yours! Copy Question ID and
click hereQuestion by:
Answer by: ada
s
Question ID: 100110120030
Submit Yours! Copy Question ID and click here
Solution by: Jonathan Le 'Carrotsticks' from Bored of Studies
v
Question ID: 100110120030
Submit Yours! Copy Question ID and
click hereVideo by:
d
12bi)
a
Question ID: 100110120040
Submit Yours! Copy Question ID and
click hereQuestion by:
Answer by: Jonathan Le 'Carrotsticks' from Bored of Studies
s
Question ID: 100110120040
Submit Yours! Copy Question ID and click here
Solution by: Jonathan Le 'Carrotsticks' from Bored of Studies
v
Question ID: 100110120040
Submit Yours! Copy Question ID and
click hereVideo by:
d
12bii)
a
$-1\le x\le2$
Question ID: 100110120050
Submit Yours! Copy Question ID and
click hereQuestion by:
Answer by: ada
s
Question ID: 100110120050
Submit Yours! Copy Question ID and click here
Solution by: Jonathan Le 'Carrotsticks' from Bored of Studies
v
Question ID: 100110120050
Submit Yours! Copy Question ID and
click hereVideo by:
d
12ci)
a
Question ID: 100110120060
Submit Yours! Copy Question ID and
click hereQuestion by:
Answer by: Jonathan Le 'Carrotsticks' from Bored of Studies
s
Question ID: 100110120060
Submit Yours! Copy Question ID and click here
Solution by: Jonathan Le 'Carrotsticks' from Bored of Studies
v
Question ID: 100110120060
Submit Yours! Copy Question ID and
click hereVideo by:
d
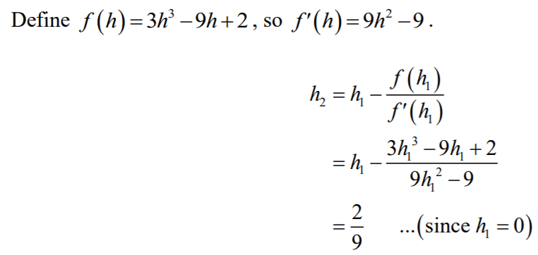
12cii)
a
$\frac29$
Question ID: 100110120070
Submit Yours! Copy Question ID and
click hereQuestion by:
Answer by: ada
s
Question ID: 100110120070
Submit Yours! Copy Question ID and click here
Solution by: Jonathan Le 'Carrotsticks' from Bored of Studies
v
Question ID: 100110120070
Submit Yours! Copy Question ID and
click hereVideo by:
d
12d)
a
$a=\frac12e^{4x}$
Question ID: 100110120080
Submit Yours! Copy Question ID and
click hereQuestion by:
Answer by: ada
s
Question ID: 100110120080
Submit Yours! Copy Question ID and click here
Solution by: Jonathan Le 'Carrotsticks' from Bored of Studies
v
Question ID: 100110120080
Submit Yours! Copy Question ID and
click hereVideo by:
d
12e)
a
$2$
Question ID: 100110130010
Submit Yours! Copy Question ID and
click hereQuestion by:
Answer by: ada
s
Question ID: 100110130010
Submit Yours! Copy Question ID and click here
Solution by: Jonathan Le 'Carrotsticks' from Bored of Studies
v
Question ID: 100110130010
Submit Yours! Copy Question ID and
click hereVideo by:
d
13a)
a
$T=2\pi\sqrt3$
Question ID: 100110130020
Submit Yours! Copy Question ID and
click hereQuestion by:
Answer by: ada
s
Question ID: 100110130020
Submit Yours! Copy Question ID and click here
Solution by: Jonathan Le 'Carrotsticks' from Bored of Studies
v
Question ID: 100110130020
Submit Yours! Copy Question ID and
click hereVideo by:
d
13bi)
a
Question ID: 100110130030
Submit Yours! Copy Question ID and
click hereQuestion by:
Answer by: Jonathan Le 'Carrotsticks' from Bored of Studies
s
Question ID: 100110130030
Submit Yours! Copy Question ID and click here
Solution by: Jonathan Le 'Carrotsticks' from Bored of Studies
v
Question ID: 100110130030
Submit Yours! Copy Question ID and
click hereVideo by:
d
13bii)
a
Question ID: 100110130040
Submit Yours! Copy Question ID and
click hereQuestion by:
Answer by: Jonathan Le 'Carrotsticks' from Bored of Studies
s
Question ID: 100110130040
Submit Yours! Copy Question ID and click here
Solution by: Jonathan Le 'Carrotsticks' from Bored of Studies
v
Question ID: 100110130040
Submit Yours! Copy Question ID and
click hereVideo by:
d
13biii)
a
Question ID: 100110130050
Submit Yours! Copy Question ID and
click hereQuestion by:
Answer by: Jonathan Le 'Carrotsticks' from Bored of Studies
s
Question ID: 100110130050
Submit Yours! Copy Question ID and click here
Solution by: Jonathan Le 'Carrotsticks' from Bored of Studies
v
Question ID: 100110130050
Submit Yours! Copy Question ID and
click hereVideo by:
d
13ci)
a
Question ID: 100110130060
Submit Yours! Copy Question ID and
click hereQuestion by:
Answer by: Jonathan Le 'Carrotsticks' from Bored of Studies
s
Question ID: 100110130060
Submit Yours! Copy Question ID and click here
Solution by: Jonathan Le 'Carrotsticks' from Bored of Studies
v
Question ID: 100110130060
Submit Yours! Copy Question ID and
click hereVideo by:
d
13cii)
a
Question ID: 100110130070
Submit Yours! Copy Question ID and
click hereQuestion by:
Answer by: Jonathan Le 'Carrotsticks' from Bored of Studies
s
Question ID: 100110130070
Submit Yours! Copy Question ID and click here
Solution by: Jonathan Le 'Carrotsticks' from Bored of Studies
v
Question ID: 100110130070
Submit Yours! Copy Question ID and
click hereVideo by:
d
13ciii)
a
Question ID: 100110130080
Submit Yours! Copy Question ID and
click hereQuestion by:
Answer by: Jonathan Le 'Carrotsticks' from Bored of Studies
s
Question ID: 100110130080
Submit Yours! Copy Question ID and click here
Solution by: Jonathan Le 'Carrotsticks' from Bored of Studies
v
Question ID: 100110130080
Submit Yours! Copy Question ID and
click hereVideo by:
d
13civ)
a
$50+25\sqrt3$
Question ID: 100110140010
Submit Yours! Copy Question ID and
click hereQuestion by:
Answer by: ada
s
Question ID: 100110140010
Submit Yours! Copy Question ID and click here
Solution by: Jonathan Le 'Carrotsticks' from Bored of Studies
v
Question ID: 100110140010
Submit Yours! Copy Question ID and
click hereVideo by:
d
14a)
a
Question ID: 100110140020
Submit Yours! Copy Question ID and
click hereQuestion by:
Answer by: Jonathan Le 'Carrotsticks' from Bored of Studies
s
Question ID: 100110140020
Submit Yours! Copy Question ID and click here
Solution by: Jonathan Le 'Carrotsticks' from Bored of Studies
v
Question ID: 100110140020
Submit Yours! Copy Question ID and
click hereVideo by:
d
14bi)
a
Question ID: 100110140030
Submit Yours! Copy Question ID and
click hereQuestion by:
Answer by: Jonathan Le 'Carrotsticks' from Bored of Studies
s
Question ID: 100110140030
Submit Yours! Copy Question ID and click here
Solution by: Jonathan Le 'Carrotsticks' from Bored of Studies
v
Question ID: 100110140030
Submit Yours! Copy Question ID and
click hereVideo by:
d
14bii)
a
Question ID: 100110140040
Submit Yours! Copy Question ID and
click hereQuestion by:
Answer by: Jonathan Le 'Carrotsticks' from Bored of Studies
s
Question ID: 100110140040
Submit Yours! Copy Question ID and click here
Solution by: Jonathan Le 'Carrotsticks' from Bored of Studies
v
Question ID: 100110140040
Submit Yours! Copy Question ID and
click hereVideo by:
d
14biii)
a
$a=1+\sqrt2$
Question ID: 100110140050
Submit Yours! Copy Question ID and
click hereQuestion by:
Answer by: ada
s
Question ID: 100110140050
Submit Yours! Copy Question ID and click here
Solution by: Jonathan Le 'Carrotsticks' from Bored of Studies
v
Question ID: 100110140050
Submit Yours! Copy Question ID and
click hereVideo by:
d
14ci)
a
Question ID: 100110140060
Submit Yours! Copy Question ID and
click hereQuestion by:
Answer by: Jonathan Le 'Carrotsticks' from Bored of Studies
s
Question ID: 100110140060
Submit Yours! Copy Question ID and click here
Solution by: Jonathan Le 'Carrotsticks' from Bored of Studies
v
Question ID: 100110140060
Submit Yours! Copy Question ID and
click hereVideo by:
d
14cii)
a
Question ID: 100110140070
Submit Yours! Copy Question ID and
click hereQuestion by:
Answer by: Jonathan Le 'Carrotsticks' from Bored of Studies
s
Question ID: 100110140070
Submit Yours! Copy Question ID and click here
Solution by: Jonathan Le 'Carrotsticks' from Bored of Studies
v
Question ID: 100110140070
Submit Yours! Copy Question ID and
click hereVideo by:
d
14ciii)
a
$t=10\ln\left(\frac54\right)$
Question ID: 100110150010
Submit Yours! Copy Question ID and
click hereQuestion by:
Answer by: ada
s
Question ID: 100110150010
Submit Yours! Copy Question ID and click here
Solution by: Jonathan Le 'Carrotsticks' from Bored of Studies
v
Question ID: 100110150010
Submit Yours! Copy Question ID and
click hereVideo by:
d
Answers
1) A
2) B
3) B
4) C
5) D
6) D
7) A
8) C
9) C
10) B
11a) $x=2$
11b) $\frac{3x^2}{1+x^6}$
11c) $x>1$ or $x<-1$
11d)
11e) $\frac83$
11f) $\frac13\sin^3x+C$
11gi) $\left(\begin{array}{c}8\\3\end{array}\right)\left(\frac15\right)^3\left(\frac45\right)^5$
11gii) $\left(\frac45\right)^8$
11giii) $1-\left(\frac45\right)^8$
12a) $\angle ABC=130^\circ$
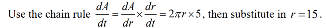
12bi)
12bii) $-1\le x\le2$
12ci)
12cii) $\frac29$
12d) $a=\frac12e^{4x}$
12e) $2$
13a) $T=2\pi\sqrt3$
13bi)
13bii)
13biii)
13ci)
13cii)
13ciii)
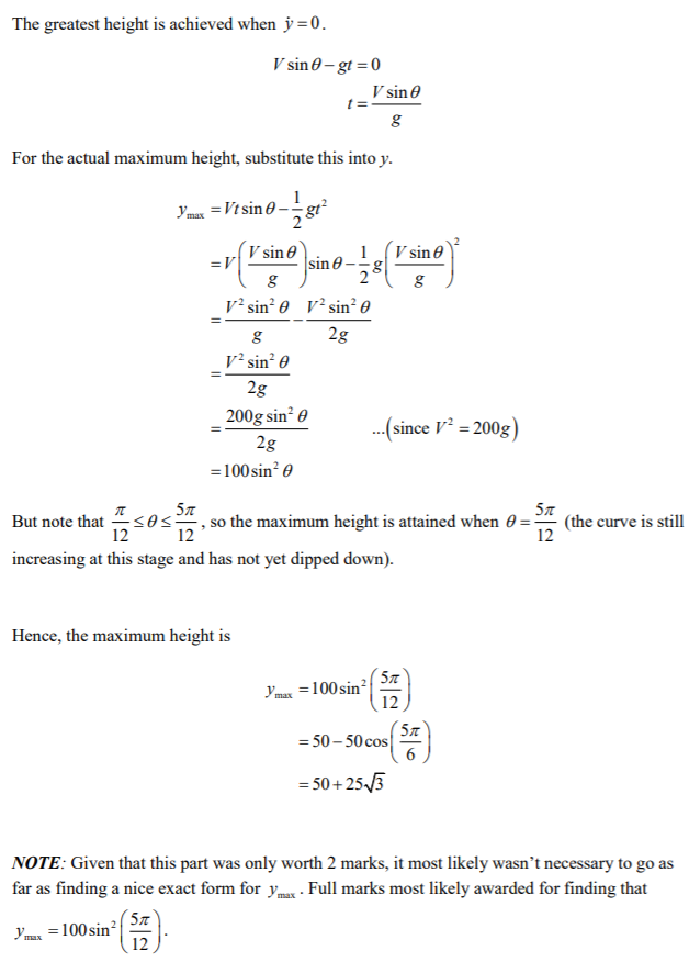
13civ) $50+25\sqrt3$
14a)
14bi)
14bii)
14biii) $a=1+\sqrt2$
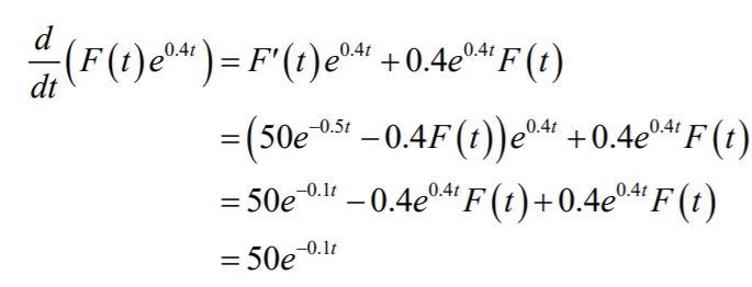
14ci)
14cii)
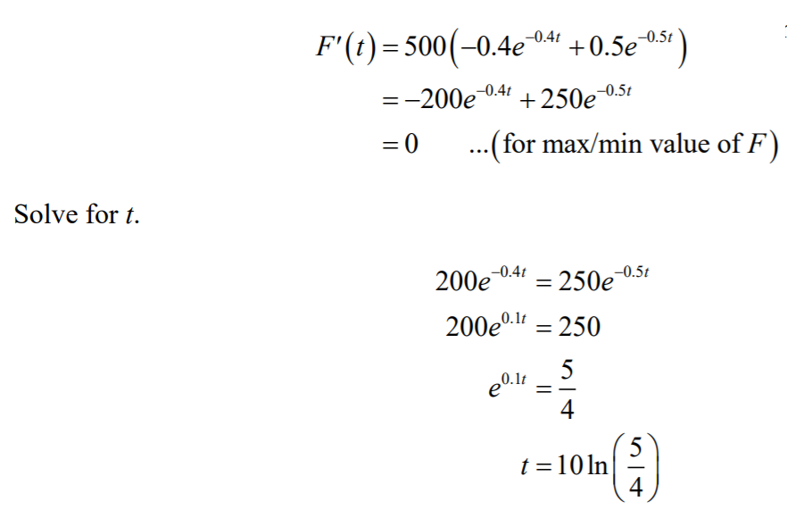
14ciii) $t=10\ln\left(\frac54\right)$
Solutions
1)
2)
3)
4)
5)
6)
7)
8)
9)
10)
11a)
11b)
11c)
11d)
11e)
11f)
11gi)
11gii)
11giii)
12a)
12bi)
12bii)
12ci)
12cii)
12d)
12e)
13a)
13bi)
13bii)
13biii)
13ci)
13cii)
13ciii)
13civ)
14a)
14bi)
14bii)
14biii)
14ci)
14cii)
14ciii)