Eton King's Scholarship 2015 B
Due to copyright restriction, we are not able to show the exam paper or questions on this website. As the answers, solutions and videos are our own work, these are all accessible on this page. Please use the following links to get a copy of the exam paper:
Exam Paper: click here
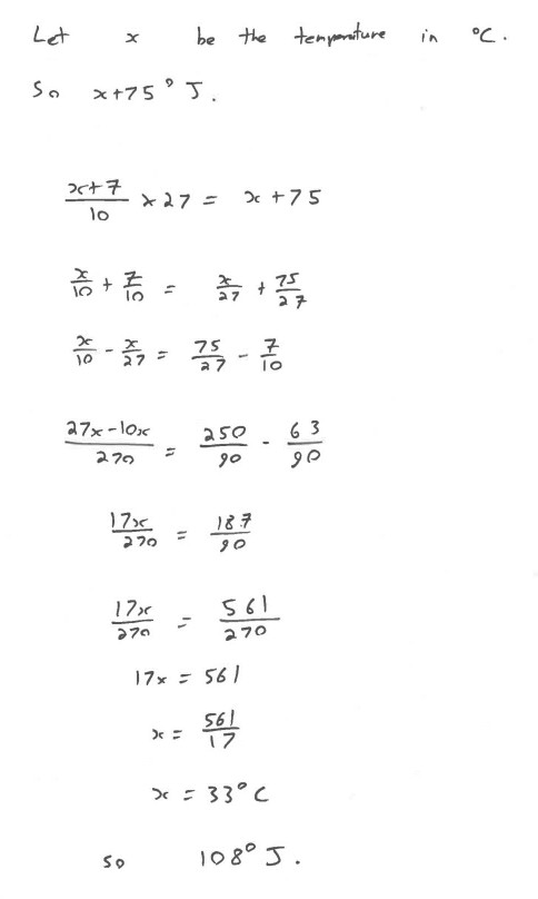
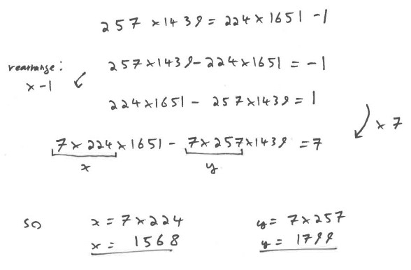
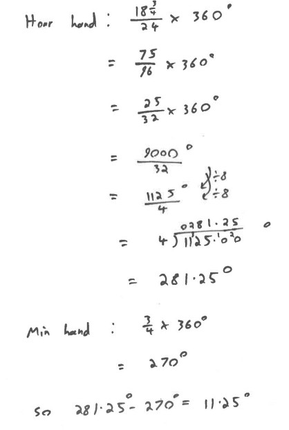
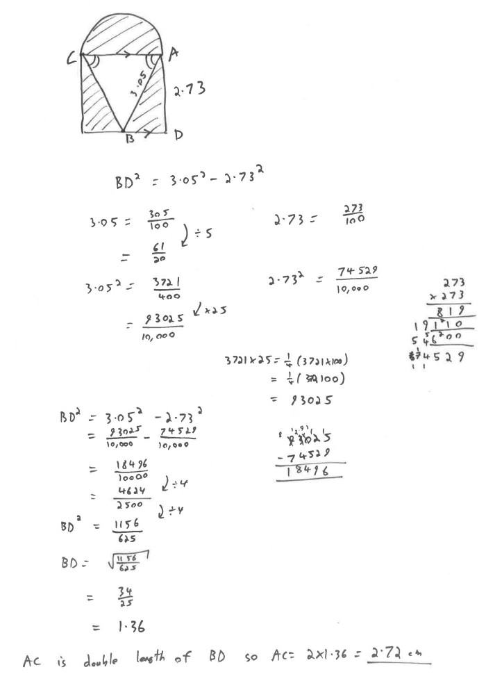
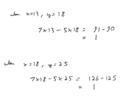
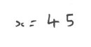
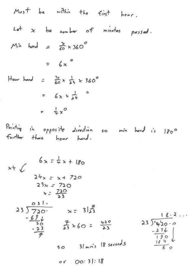
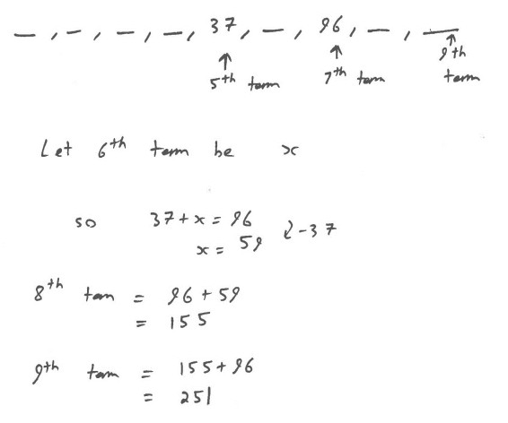
For all questions, see exam paper
1ai)
a
Question ID: 100040010010
Submit Yours! Copy Question ID and
click hereQuestion by:
Answer by: ada
s
Question ID: 100040010010
Submit Yours! Copy Question ID and click here
Solution by: ada
v
Question ID: 100040010010
Submit Yours! Copy Question ID and
click hereVideo by:
d
1aii)
a
Question ID: 100040010020
Submit Yours! Copy Question ID and
click hereQuestion by:
Answer by: ada
s
Question ID: 100040010020
Submit Yours! Copy Question ID and click here
Solution by: ada
v
Question ID: 100040010020
Submit Yours! Copy Question ID and
click hereVideo by:
d
1b)
a
Question ID: 100040010030
Submit Yours! Copy Question ID and
click hereQuestion by:
Answer by: ada
s
Question ID: 100040010030
Submit Yours! Copy Question ID and click here
Solution by: ada
v
Question ID: 100040010030
Submit Yours! Copy Question ID and
click hereVideo by:
d
2a)
a
Question ID: 100040020010
Submit Yours! Copy Question ID and
click hereQuestion by:
Answer by: ada
s
Question ID: 100040020010
Submit Yours! Copy Question ID and click here
Solution by: ada
v
Question ID: 100040020010
Submit Yours! Copy Question ID and
click hereVideo by:
d
2bi)
a
Question ID: 100040020020
Submit Yours! Copy Question ID and
click hereQuestion by:
Answer by: ada
s
Question ID: 100040020020
Submit Yours! Copy Question ID and click here
Solution by: ada
v
Question ID: 100040020020
Submit Yours! Copy Question ID and
click hereVideo by:
d
2bii)
a
Question ID: 100040020030
Submit Yours! Copy Question ID and
click hereQuestion by:
Answer by: ada
s
Question ID: 100040020030
Submit Yours! Copy Question ID and click here
Solution by: ada
v
Question ID: 100040020030
Submit Yours! Copy Question ID and
click hereVideo by:
d
3a)
a
Question ID: 100040030010
Submit Yours! Copy Question ID and
click hereQuestion by:
Answer by: ada
s
Question ID: 100040030010
Submit Yours! Copy Question ID and click here
Solution by: ada
v
Question ID: 100040030010
Submit Yours! Copy Question ID and
click hereVideo by:
d
3b)
a
Question ID: 100040030020
Submit Yours! Copy Question ID and
click hereQuestion by:
Answer by: ada
s
Question ID: 100040030020
Submit Yours! Copy Question ID and click here
Solution by: ada
v
Question ID: 100040030020
Submit Yours! Copy Question ID and
click hereVideo by:
d
4a)
a
Question ID: 100040040010
Submit Yours! Copy Question ID and
click hereQuestion by:
Answer by: ada
s
Question ID: 100040040010
Submit Yours! Copy Question ID and click here
Solution by: ada
v
Question ID: 100040040010
Submit Yours! Copy Question ID and
click hereVideo by:
d
4b)
a
Question ID: 100040040020
Submit Yours! Copy Question ID and
click hereQuestion by:
Answer by: ada
s
Question ID: 100040040020
Submit Yours! Copy Question ID and click here
Solution by: ada
v
Question ID: 100040040020
Submit Yours! Copy Question ID and
click hereVideo by:
d
5a)
a
Question ID: 100040050010
Submit Yours! Copy Question ID and
click hereQuestion by:
Answer by: ada
s
Question ID: 100040050010
Submit Yours! Copy Question ID and click here
Solution by: ada
v
Question ID: 100040050010
Submit Yours! Copy Question ID and
click hereVideo by:
d
5bi)
a
Question ID: 100040050020
Submit Yours! Copy Question ID and
click hereQuestion by:
Answer by: ada
s
Question ID: 100040050020
Submit Yours! Copy Question ID and click here
Solution by: ada
v
Question ID: 100040050020
Submit Yours! Copy Question ID and
click hereVideo by:
d
5bii)
a
Question ID: 100040050030
Submit Yours! Copy Question ID and
click hereQuestion by:
Answer by: ada
s
Question ID: 100040050030
Submit Yours! Copy Question ID and click here
Solution by: ada
v
Question ID: 100040050030
Submit Yours! Copy Question ID and
click hereVideo by:
d
5biii)
a
Question ID: 100040050040
Submit Yours! Copy Question ID and
click hereQuestion by:
Answer by: ada
s
Question ID: 100040050040
Submit Yours! Copy Question ID and click here
Solution by: ada
v
Question ID: 100040050040
Submit Yours! Copy Question ID and
click hereVideo by:
d
6a)
a
Question ID: 100040060010
Submit Yours! Copy Question ID and
click hereQuestion by:
Answer by: ada
s
Question ID: 100040060010
Submit Yours! Copy Question ID and click here
Solution by: ada
v
Question ID: 100040060010
Submit Yours! Copy Question ID and
click hereVideo by:
d
6b)
a
Question ID: 100040060020
Submit Yours! Copy Question ID and
click hereQuestion by:
Answer by: ada
s
Question ID: 100040060020
Submit Yours! Copy Question ID and click here
Solution by: ada
v
Question ID: 100040060020
Submit Yours! Copy Question ID and
click hereVideo by:
d
7a)
a
Question ID: 100040070010
Submit Yours! Copy Question ID and
click hereQuestion by:
Answer by: ada
s
Question ID: 100040070010
Submit Yours! Copy Question ID and click here
Solution by: ada
v
Question ID: 100040070010
Submit Yours! Copy Question ID and
click hereVideo by:
d
7b)
a
Question ID: 100040070020
Submit Yours! Copy Question ID and
click hereQuestion by:
Answer by: ada
s
Question ID: 100040070020
Submit Yours! Copy Question ID and click here
Solution by: ada
v
Question ID: 100040070020
Submit Yours! Copy Question ID and
click hereVideo by:
d
7c)
a
Question ID: 100040070030
Submit Yours! Copy Question ID and
click hereQuestion by:
Answer by: ada
s
Question ID: 100040070030
Submit Yours! Copy Question ID and click here
Solution by: ada
v
Question ID: 100040070030
Submit Yours! Copy Question ID and
click hereVideo by:
d
8ai)
a
Question ID: 100040080010
Submit Yours! Copy Question ID and
click hereQuestion by:
Answer by: ada
s
Question ID: 100040080010
Submit Yours! Copy Question ID and click here
Solution by: ada
v
Question ID: 100040080010
Submit Yours! Copy Question ID and
click hereVideo by:
d
8aii)
a
Question ID: 100040080020
Submit Yours! Copy Question ID and
click hereQuestion by:
Answer by: ada
s
Question ID: 100040080020
Submit Yours! Copy Question ID and click here
Solution by: ada
v
Question ID: 100040080020
Submit Yours! Copy Question ID and
click hereVideo by:
d
8aiii)
a
Question ID: 100040080030
Submit Yours! Copy Question ID and
click hereQuestion by:
Answer by: ada
s
Question ID: 100040080030
Submit Yours! Copy Question ID and click here
Solution by: ada
v
Question ID: 100040080030
Submit Yours! Copy Question ID and
click hereVideo by:
d
8bi)
a
Question ID: 100040080040
Submit Yours! Copy Question ID and
click hereQuestion by:
Answer by: ada
s
Question ID: 100040080040
Submit Yours! Copy Question ID and click here
Solution by:
v
Question ID: 100040080040
Submit Yours! Copy Question ID and
click hereVideo by:
d
8bii)
a
Question ID: 100040080050
Submit Yours! Copy Question ID and
click hereQuestion by:
Answer by: ada
s
Question ID: 100040080050
Submit Yours! Copy Question ID and click here
Solution by:
v
Question ID: 100040080050
Submit Yours! Copy Question ID and
click hereVideo by:
d
8biii)
a
Question ID: 100040080060
Submit Yours! Copy Question ID and
click hereQuestion by:
Answer by: ada
s
Question ID: 100040080060
Submit Yours! Copy Question ID and click here
Solution by:
v
Question ID: 100040080060
Submit Yours! Copy Question ID and
click hereVideo by:
d
8biv)
a
Question ID: 100040080070
Submit Yours! Copy Question ID and
click hereQuestion by:
Answer by: ada
s
Question ID: 100040080070
Submit Yours! Copy Question ID and click here
Solution by:
v
Question ID: 100040080070
Submit Yours! Copy Question ID and
click hereVideo by:
d
9ai)
a
Question ID: 100040090010
Submit Yours! Copy Question ID and
click hereQuestion by:
Answer by: ada
s
Question ID: 100040090010
Submit Yours! Copy Question ID and click here
Solution by: ada
v
Question ID: 100040090010
Submit Yours! Copy Question ID and
click hereVideo by:
d
9aii)
a
Question ID: 100040090020
Submit Yours! Copy Question ID and
click hereQuestion by:
Answer by: ada
s
Question ID: 100040090020
Submit Yours! Copy Question ID and click here
Solution by: ada
v
Question ID: 100040090020
Submit Yours! Copy Question ID and
click hereVideo by:
d
9aiii)
a
Question ID: 100040090030
Submit Yours! Copy Question ID and
click hereQuestion by:
Answer by: ada
s
Question ID: 100040090030
Submit Yours! Copy Question ID and click here
Solution by: ada
v
Question ID: 100040090030
Submit Yours! Copy Question ID and
click hereVideo by:
d
9aiv)
a
Question ID: 100040090040
Submit Yours! Copy Question ID and
click hereQuestion by:
Answer by: ada
s
Question ID: 100040090040
Submit Yours! Copy Question ID and click here
Solution by: ada
v
Question ID: 100040090040
Submit Yours! Copy Question ID and
click hereVideo by:
d
9bi)
a
Question ID: 100040090050
Submit Yours! Copy Question ID and
click hereQuestion by:
Answer by: ada
s
Question ID: 100040090050
Submit Yours! Copy Question ID and click here
Solution by: ada
v
Question ID: 100040090050
Submit Yours! Copy Question ID and
click hereVideo by:
d
9bii)
a
Question ID: 100040090060
Submit Yours! Copy Question ID and
click hereQuestion by:
Answer by: ada
s
Question ID: 100040090060
Submit Yours! Copy Question ID and click here
Solution by:
v
Question ID: 100040090060
Submit Yours! Copy Question ID and
click hereVideo by:
d
10a)
a
Question ID: 100040100010
Submit Yours! Copy Question ID and
click hereQuestion by:
Answer by: ada
s
Question ID: 100040100010
Submit Yours! Copy Question ID and click here
Solution by: ada
v
Question ID: 100040100010
Submit Yours! Copy Question ID and
click hereVideo by:
d
10bi)
a
Question ID: 100040100020
Submit Yours! Copy Question ID and
click hereQuestion by:
Answer by: ada
s
Question ID: 100040100020
Submit Yours! Copy Question ID and click here
Solution by: ada
v
Question ID: 100040100020
Submit Yours! Copy Question ID and
click hereVideo by:
d
10bii)
a
Question ID: 100040100030
Submit Yours! Copy Question ID and
click hereQuestion by:
Answer by: ada
s
Question ID: 100040100030
Submit Yours! Copy Question ID and click here
Solution by: ada
v
Question ID: 100040100030
Submit Yours! Copy Question ID and
click hereVideo by:
d
10biii)
a
Question ID: 100040100040
Submit Yours! Copy Question ID and
click hereQuestion by:
Answer by: ada
s
Question ID: 100040100040
Submit Yours! Copy Question ID and click here
Solution by: ada
v
Question ID: 100040100040
Submit Yours! Copy Question ID and
click hereVideo by:
d
10ci)
a
Question ID: 100040100050
Submit Yours! Copy Question ID and
click hereQuestion by:
Answer by: ada
s
Question ID: 100040100050
Submit Yours! Copy Question ID and click here
Solution by: ada
v
Question ID: 100040100050
Submit Yours! Copy Question ID and
click hereVideo by:
d
10cii)
a
Question ID: 100040100060
Submit Yours! Copy Question ID and
click hereQuestion by:
Answer by: ada
s
Question ID: 100040100060
Submit Yours! Copy Question ID and click here
Solution by: ada
v
Question ID: 100040100060
Submit Yours! Copy Question ID and
click hereVideo by:
d
Answers
1ai)
1aii)
1b)
2a)
2bi)
2bii)
3a)
3b)
4a)
4b)
5a)
5bi)
5bii)
5biii)
6a)
6b)
7a)
7b)
7c)
8ai)
8aii)
8aiii)
8bi)
8bii)
8biii)
8biv)
9ai)
9aii)
9aiii)
9aiv)
9bi)
9bii)
10a)
10bi)
10bii)
10biii)
10ci)
10cii)
Solutions
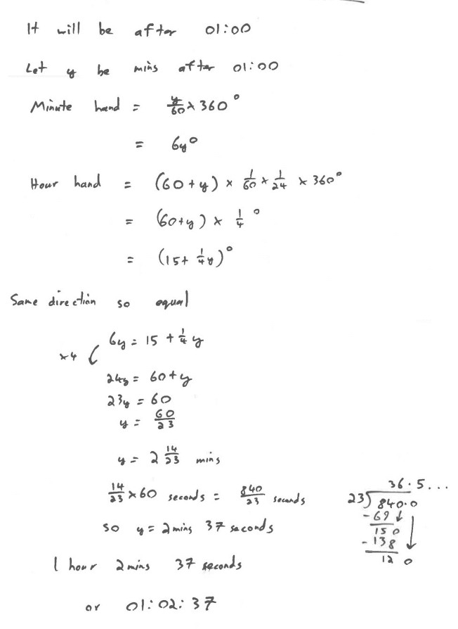
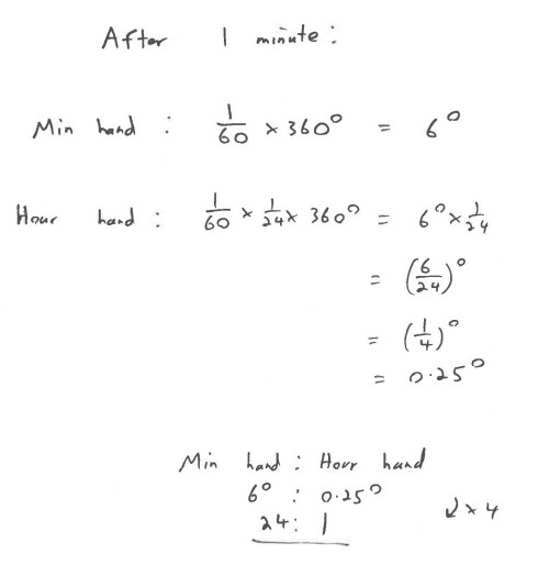
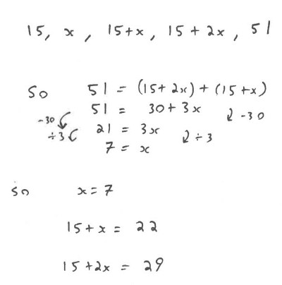
1ai)
1aii)
1b)
2a)
2bi)
2bii)
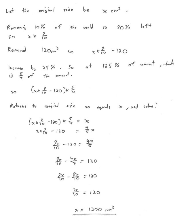
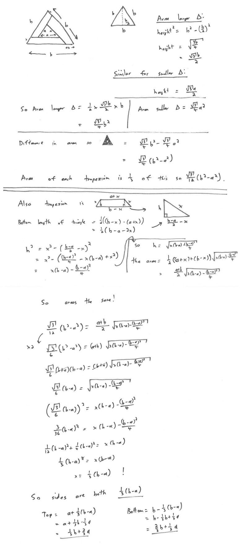
3a)
3b)
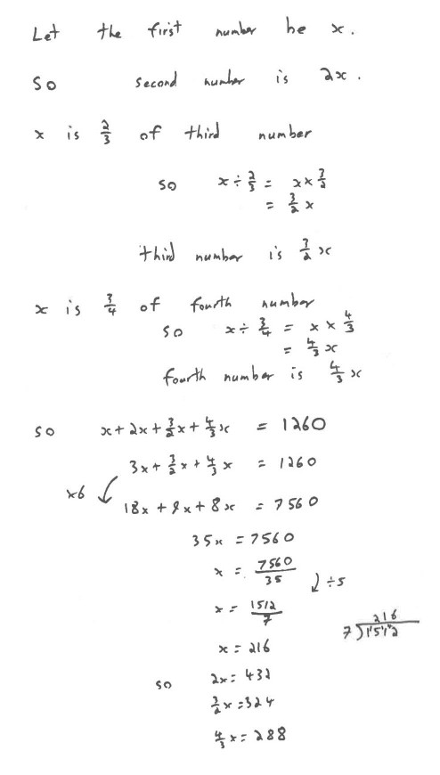
4a)
4b)
5a)
5bi)
5bii)
5biii)
6a)
6b)
7a)
7b)
7c)
8ai)
8aii)
8aiii)
8bi)
8bii)
8biii)
8biv)
9ai)
9aii)
9aiii)
9aiv)
9bi)
9bii)
10a)
10bi)
10bii)
10biii)
10ci)
10cii)